Unit I: Random Variables and Probability Distributions
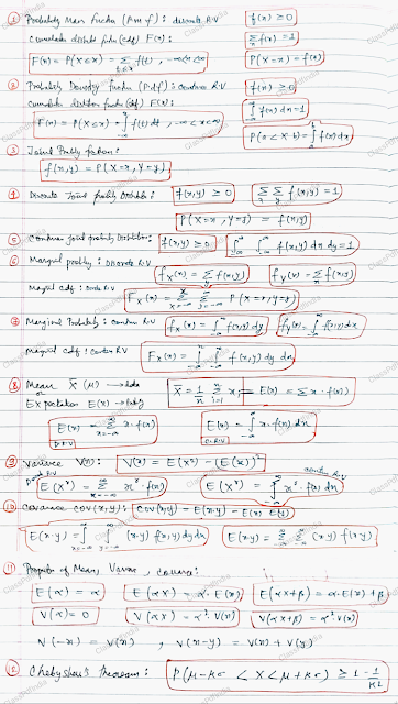
⭐Formulas:
๐จThanks for visiting classpdfindia✨
Welcome to a hub for ๐Nerds and knowledge seekers! Here, you'll find everything you need to stay updated on education, notes, books, and daily trends.
๐ Bookmark our site to stay connected and never miss an update!
๐ Have suggestions or need more content? Drop a comment below, and let us know what topics you'd like to see next! Your support means the world to us. ๐

